Drive Configurations

 

100% Water Drive

 

The 100% water drive reservoir calculation is best suited for reservoirs in which no pressure loss occurs with production. Any pressure drop that occurs with production affects the calculation accuracy. Use combination drive if a pressure drop occurs.

 

Oil Recovery

The initial discovery reservoir pressure must be greater than or equal to the bubble point pressure of the reservoir oil. This calculation assumes total pressure maintenance by the aquifer such that recovery is given by:

 

embim63

 

The oil recovery as calculated above is applied to the water invaded zone. This method of calculation implies that the aquifer must be strong enough to replace a barrel of oil produced with a barrel of water influx, or the rate of production very small relative to the rate of water influx.

 

The total oil recover is calculated using:

embim64

 

The recovery factor is calculated using:

embim65

 

Solution Gas

The solution gas produced is equal to the gas that comes out of solution as the oil is produced and brought to the surface. It is calculated by the following equation:

 

embim66

 

The total gas production is calculated using:

embim67

 

The gas recovery factor is calculated using:

embim68

 

Gas Recovery

100% water drive recovery is best suited for reservoirs where very little pressure loss occurs with production. This calculation assumes total pressure maintenance by the aquifer such that recovery is given by:

 

embim69

 

The recovery factor calculated above applies to the entire hydrocarbon zone. This method of calculation implies that the aquifer must be very strong or the rate of production very small relative to the rate of water influx.

 

Solution Gas (Depletion) Drive

The solution drive mechanism is applicable to undersaturated volumetric reservoirs.

 

Initial reservoir pressure must be at or above the bubble point pressure. Production from the initial discovery pressure down to the bubble point pressure is by liquid expansion and results in a rapid decline in reservoir pressure. Typical recoveries for this stage of the production life of the reservoir are a fraction of a percent to a few percent of the original oil in place. The gas-oil ratio remains equal to the initial gas-oil ratio.

 

Below the bubble point, gas liberates in the reservoir pore space. The reservoir then produces by gas expansion, as indicated by a slower rate of pressure decline and increasing produced gas-oil ratios. Typical recoveries are 10 to 25 percent of the original oil in place.

 

The oil volumetrics calculator makes the following assumptions for solution drive mechanism:

All gas that comes out of solution is either produced or remains in the same pore space where it was liberated. The calculator makes no provision for additional production due to the formation of a secondary gas cap.

No water influx

Uniform gas saturation throughout the oil zone

 

The recovery factor for solution drive has two parts:

Recovery factor from discovery pressure down to bubble point pressure (if the initial pressure is greater than bubble point pressure)

Recovery factor from bubble point pressure down to abandonment pressure

 

Recovery Factor from Discovery Pressure to Bubble Point Pressure

The recovery factor from discovery pressure down to bubble point pressure (if the initial pressure is greater than bubble point pressure) is calculated by:

 

embim70

 

The above fractional recovery is calculated as the fraction of a stock tank barrel of oil that is recovered by the expansion of that barrel due to a pressure drop from the initial pressure down to the bubble point pressure.

 

Recovery Factor from Bubble Point Pressure to Abandonment Pressure

The recovery that occurs from bubble point pressure down to abandonment pressure is calculated using Tracy's material balance method. The iterative procedure calculates the recovery fraction for each 200 psia drop in reservoir pressure and keeps a running total of the recovery fraction down to abandonment pressure. The calculation procedure is discussed below along with Tracy's PHI function. Tracy rearranged the general material balance equation by defining three functions of fluid properties dependent on reservoir pressure. This permitted the estimation of change in produced gas-oil ratio, rather than incremental oil production, for each pressure step. Performance calculations are made in a series of pressure steps from known reservoir conditions at the previous pressure to calculated conditions at the next lower pressure. The calculated results then become the "knowns" at the next lower pressure. This calculation sequence is repeated until abandonment pressure is reached.

 

The following steps trace the calculation used to determine the recovery factor for solution drive:

embim71

 

The equations for Tracy's functions are:

embim72

 

The following lists definitions and equations for undefined variables:

embim73

 

Probably the one most important factor in the solution drive calculations is the Kg/Ko vs. gas saturation curve. You must verify the three curves stored in the program before you use them. A relatively small change in the curve can change the recovery by 5 to 8 percent. The default curves are typical for an unconsolidated south Louisiana sandstone.

 

Total Fractional Recovery

The total fractional recovery is calculated using the following equation to combine the recovery fraction above and below the bubble point.

 

embim74

 

Oil Recovery

The oil recovery for the solution drive method is calculated by the following equation:

 

embim75

 

The total recovery is determined by:

embim76

 

Gas Recovery

The solution gas recovery is calculated by:

 

embim77

 

Total gas recovery is determined by:

 

embim78

 

Gas Cap Drive

 

Use the gas cap drive mechanism for reservoirs with a gas cap. Oil accumulations often occur in which there are greater volumes of light hydrocarbons present than would dissolve in the oil at reservoir temperature and pressure. Over time, these light materials migrate to the top of the reservoir to form a gas cap.

 

There are two sources of energy, due to the pressure drop caused by oil production, that produce a gas cap drive reservoir:

Expansion of the gas cap gas

Expansion of the dissolved gas as it is liberated

 

In the gas cap drive reservoir, the oil level in the reservoir falls as oil production occurs due to the expanding gas cap forcing the oil lower in the formation. Gas cap drive reservoirs tend to maintain higher pressures than solution drive reservoirs. The pressure decline rate is inversely related to the volume of gas in the gas cap. The larger the volume of gas in the gas cap, the less the pressure declines as oil is produced. Recovery fractions for this type of reservoir normally range between 20 and 40 percent of the original oil in place.

 

The oil volumetric calculator calculates oil recovery due to both gas cap expansion and solution gas expansion. It does not take into account gravity, which can significantly increase oil recovery in steeply dipping reservoirs. Also, well placement in the reservoir can affect the expected oil recovery. This can happen when wells are completed up-dip and must start producing the advancing gas cap due to early breakthrough. Note: The calculator does not account for migration of reservoir oil into the gas cap.

 

The volumetrics calculator allows entry of a produced gas from gas cap. You could possibly use this feature in a one well reservoir where either the well cannot be recompleted in a lower interval or it is not economical to do so.

 

Note: Production of gas cap gas from a gas cap drive reservoir reduces the oil recovery and therefore is NOT the recommended way to produce the reservoir.

 

The method used for gas cap drive assumes that the oil saturation at any time step is uniform throughout the original oil zone and that gas cap gas expansion across the original gas-oil contact immediately spreads uniformly through the oil zone. The calculated gas-oil ratios will be too high before gas breakthrough to the wells and too low after breakthrough, which will reduce the reliability of the reserve estimates.

 

Tracy's Method

The same iterative procedure used to calculate solution drive production is used in the gas cap drive with a few additional parameters in Tracy's method. The calculation procedure is repeated below with the gas cap parameters included.

 

embim79

 

The equations for Tracy's functions are:

embim80

 

The following lists definitions and equations for the variables listed earlier:

embim81

 

Oil Recovery

The oil recovery for the gas cap drive method is calculated by:

embim82

 

Total oil recovery is determined by:

embim83

 

Gas Recovery

The solution gas recovery due to gas cap drive is calculated by the following equation:

embim84

 

The gas cap production is the total gas cap production as input. The gas cap gas production for each 200 psia decrement is calculated as a function of the change in Z/P for the 200 psia reservoir pressure drop to the total change in Z/P from initial conditions to abandonment condition. This gas cap gas production scheme skews the gas cap production toward the end of the reservoir production life to approximate actual production practice.

 

The formula for delta GPC is:

embim85

 

Combination Drive

Few oil reservoirs produce exclusively by one of the previously discussed drive mechanisms. In most cases, the reservoir uses at least two or possibly all three of the mechanisms. The combination drive mechanism allows you to specify any combination of the water drive, solution drive, and gas cap drive for a recovery calculation.        

 

Note that for a partial water drive with a gas cap, the water invasion zone cannot extend into the gas cap. If this occurs the gas cap expansion is set to zero and the water invaded volume is set equal to the total oil in place volume. Gravity effects are ignored.

 

In order for oil volumetrics calculator to calculate a recovery for each specific drive mechanism to include in the recovery calculation, you must input a volume for each drive mechanism. To allow a gas cap drive, the initial discovery pressure must be equal to the reservoir bubble point pressure. The program displays a warning message if these pressures are not equal and will not allow you to input gas cap parameters. All recovery calculations are carried out at in the specific drive calculations with the exception of water drive.

 

The modified water drive recovery equation is:

embim86

 

The total recovery for a combination drive reservoir is:

embim87

 

Use of SOL.RECOVER or GC.RECOVER is dependent on whether gas cap drive is included as part of the combination drive.

 

The fractional recovery for the combination drive is:

embim88

 

 

Partial Water Drive

The following two factors affect partial water-drive recovery:

Strength of the associated aquifer

Residual gas saturation

 

Because the gas volumetric calculator does not perform time-step calculations, it makes certain simplifying assumptions to calculate partial water-drive recovery. First, the entire reservoir is assumed to undergo volumetric depletion to abandonment pressure. At this time, determining any additional recovery in the water-swept zone accounts for the effect of water influx.

 

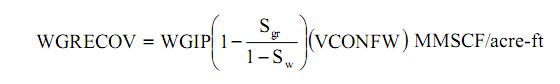
After the residual saturation is determined, separate recovery factors are then calculated for volumetric and water drive performance of the reservoir:

embim89

 

The volumetric recovery factor is multiplied by the total reservoir volume while the water-drive factor is applied only to the estimated volume swept by water. Because no water-influx is assumed to occur until abandonment pressure is reached, this method is most applicable if the rate of water influx is low relative to the rate of gas withdrawal from the reservoir.

 

Total recovery from partial water drive reservoirs is thus calculated as the sum of the volumetric and water drive recoveries:

embim90

 

Acre-ftv refers to the entire existing hydrocarbon zone, while acre-ftw represents the anticipated portion of acre-ftv that will be swept by water. Recovery efficiency is therefore considerably affected by the quantity acre-ftw. Naturally, if the water-swept portion is set equal to the volumetric (total) volume, the theoretical maximum recovery will be calculated.

 

Estimation of the reservoir volume swept by the advancing aquifer is difficult. Unless the water-drive is extremely weak, it is recommended that the water-swept zone be taken as the volume down-dip of the highest well on the structure. If formation stratigraphy indicates a potential for coning, this volume must be adjusted downward.

 

Aquifer response also represents an important factor in determining ultimate recovery due to the effect it has on the absolute quantity of gas left in the reservoir. The trapped gas saturation has been found to be largely independent of the pressure at which the gas is trapped, but generally ranges from 30% to 50% of the pore volume. Although this trapped saturation is essentially independent of pressure, it can be shown that identical saturations can represent vastly different quantities of gas through use of the ideal gas law.

 

Applying the ideal gas equation to the gas trapped in one cubic foot of pore volume behind the front, we have:

embim91

 

Because Sgr is independent of pressure and the RT term remains constant if the reservoir produces isothermally, the actual moles of trapped gas is directly proportional to pressure:

embim92

 

Thus, high pressure maintenance due to rapid water-influx will lower ultimate recovery significantly due to the high molar-density of residual gas. In cases of strong pressure maintenance, it is reasonable to assume a 10% pressure loss if no other information is available. Sometimes you can make better estimates by analogy with similar reservoirs, but you should exercise careful judgment in order to select a reservoir with similar characteristics.